Σε μαθήματα προσανατολισμού εξετάστηκαν σήμερα οι υποψήφιοι των Γενικών Λυκείων στις Πανελλήνιες Εξετάσεις.
Ειδκότερα, οι υποψήφιοι της ομάδας προσανατολισμού Ανθρωπιστικών Σπουδών εξετάστηκαν στην Ιστορία, οι υποψήφιοι της ομάδας προσανατολισμού Θετικών Σπουδών εξετάστηκαν στη Φυσική, ενώ οι υποψήφιοι της ομάδας προσανατολισμού Σπουδών Οικονομίας και Πληροφορικής εξετάστηκαν στο μάθημα Ανάπτυξης Εφαρμογών σε Προγραμματιστικό Περιβάλλον.
Αναλυτικά τα θέματα που έπεσαν σε Φυσική, Ιστορία και Ανάπτυξη Εφαρμογών, Κατεύθυνσης, ΕΔΩ.
Οι απαντήσεις σε Φυσική, Ιστορία, Ανάπτυξη Εφαρμογών
- Για τα Ημερήσια Λύκεια
Οι απαντήσεις στο μάθημα της Ιστορίας των ΓΕΛ
![Πανελλήνιες 2017: Οι απαντήσεις σε Ιστορία, Φυσική και Ανάπτυξη Εφαρμογών [pdf] | iefimerida.gr 0](/sites/default/files/styles/in_article/public/2017-06/istoria1_0.jpg?itok=0rDSMAZ8)
![Πανελλήνιες 2017: Οι απαντήσεις σε Ιστορία, Φυσική και Ανάπτυξη Εφαρμογών [pdf] | iefimerida.gr 1](/sites/default/files/styles/in_article/public/2017-06/istoria2_0.jpg?itok=mPtJWcP9)
Οι απαντήσεις στο μάθημα Ανάπτυξης Εφαρμογών σε Προγραμματιστικό Περιβάλλον στα ΓΕΛ
![Πανελλήνιες 2017: Οι απαντήσεις σε Ιστορία, Φυσική και Ανάπτυξη Εφαρμογών [pdf] | iefimerida.gr 2](/sites/default/files/styles/in_article/public/2017-06/anaptiksi-efarmogwn1.jpg?itok=BNeVXp_M)
![Πανελλήνιες 2017: Οι απαντήσεις σε Ιστορία, Φυσική και Ανάπτυξη Εφαρμογών [pdf] | iefimerida.gr 3](/sites/default/files/styles/in_article/public/2017-06/anaptiksi-efarmogon2.jpg?itok=h6l19-oP)
![Πανελλήνιες 2017: Οι απαντήσεις σε Ιστορία, Φυσική και Ανάπτυξη Εφαρμογών [pdf] | iefimerida.gr 4](/sites/default/files/styles/in_article/public/2017-06/anaptiksi-efarmogon3.jpg?itok=Mff6oPSL)
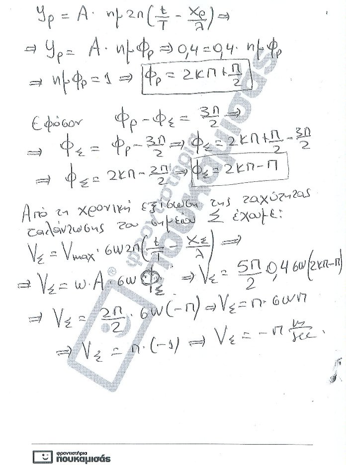
Οι απαντήσεις στα θέματα της Φυσικής στα ΓΕΛ
![Πανελλήνιες 2017: Οι απαντήσεις σε Ιστορία, Φυσική και Ανάπτυξη Εφαρμογών [pdf] | iefimerida.gr 5](/sites/default/files/styles/in_article/public/2017-06/fisiki-kateuthinsis2017-1.jpg?itok=kPMVIwOi)
![Πανελλήνιες 2017: Οι απαντήσεις σε Ιστορία, Φυσική και Ανάπτυξη Εφαρμογών [pdf] | iefimerida.gr 6](/sites/default/files/styles/in_article/public/2017-06/fisiki-kateuthinsis2017-2.jpg?itok=VdXgS39o)
![Πανελλήνιες 2017: Οι απαντήσεις σε Ιστορία, Φυσική και Ανάπτυξη Εφαρμογών [pdf] | iefimerida.gr 7](/sites/default/files/styles/in_article/public/2017-06/fisiki-kateuthinsis2017-3.jpg?itok=Cif_d71Y)
![Πανελλήνιες 2017: Οι απαντήσεις σε Ιστορία, Φυσική και Ανάπτυξη Εφαρμογών [pdf] | iefimerida.gr 8](/sites/default/files/styles/in_article/public/2017-06/fysiki1.jpg?itok=mtTxRqCW)
![Πανελλήνιες 2017: Οι απαντήσεις σε Ιστορία, Φυσική και Ανάπτυξη Εφαρμογών [pdf] | iefimerida.gr 9](/sites/default/files/styles/in_article/public/2017-06/fysiski2.jpg?itok=XqdpfQBC)
![Πανελλήνιες 2017: Οι απαντήσεις σε Ιστορία, Φυσική και Ανάπτυξη Εφαρμογών [pdf] | iefimerida.gr 10](/sites/default/files/styles/in_article/public/2017-06/fysiki3.jpg?itok=smrZGkeR)
![Πανελλήνιες 2017: Οι απαντήσεις σε Ιστορία, Φυσική και Ανάπτυξη Εφαρμογών [pdf] | iefimerida.gr 11](/sites/default/files/styles/in_article/public/2017-06/fysiki4.jpg?itok=xE07bcGQ)
![Πανελλήνιες 2017: Οι απαντήσεις σε Ιστορία, Φυσική και Ανάπτυξη Εφαρμογών [pdf] | iefimerida.gr 12](/sites/default/files/styles/in_article/public/2017-06/fysiki5.jpg?itok=zxJX0gGn)
![Πανελλήνιες 2017: Οι απαντήσεις σε Ιστορία, Φυσική και Ανάπτυξη Εφαρμογών [pdf] | iefimerida.gr 13](/sites/default/files/styles/in_article/public/2017-06/fysiki6.jpg?itok=eu-Nybbx)
![Πανελλήνιες 2017: Οι απαντήσεις σε Ιστορία, Φυσική και Ανάπτυξη Εφαρμογών [pdf] | iefimerida.gr 14](/sites/default/files/styles/in_article/public/2017-06/fysiki7.jpg?itok=yJ55zSSy)
![Πανελλήνιες 2017: Οι απαντήσεις σε Ιστορία, Φυσική και Ανάπτυξη Εφαρμογών [pdf] | iefimerida.gr 15](/sites/default/files/styles/in_article/public/2017-06/fysiki8.jpg?itok=d_nLEWF1)