Σχεδόν δύο φορές τον αριθμό προσφύγων που «αντέχουν» φιλοξενούν τα νησιά -Συνεχίζονται οι αφίξεις [πίνακας] - iefimerida.gr

Σχεδόν δύο φορές τον αριθμό προσφύγων που «αντέχουν» φιλοξενούν τα νησιά -Συνεχίζονται οι αφίξεις [πίνακας]

Φωτογραφία: EUROKINISSI
NEWSROOM IEFIMERIDA.GR

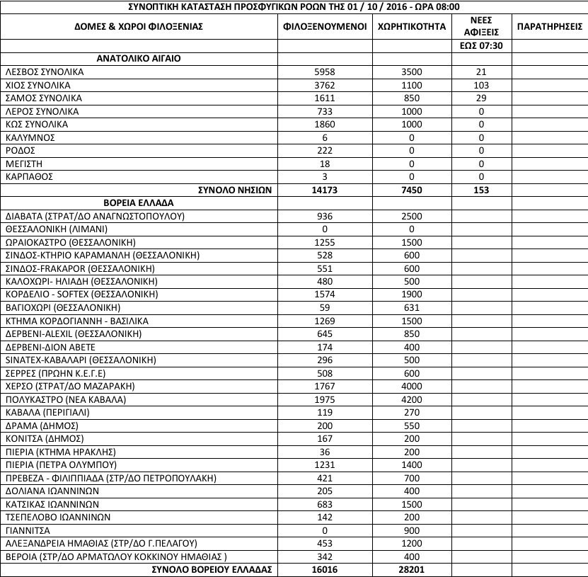
Με τις αντιδράσεις στα νησιά του Αιγαίου να πληθαίνουν, πλέον ο αριθμός των προσφύγων έχει φτάσει σχεδόν στο διπλάσιο της χωρητικότητας των υποδομών που βρίσκονται εκεί.

Εως το πρωί του Σαββάτου, σύμφωνα με την τελευταία επίσημη καταγραφή, έφτασαν στα νησιά του Αιγαίου άλλοι 153 πρόσφυγες. Συγκεκριμένα, 103 άτομα έφτασαν στη Χίο, 29 στη Σάμο και 21 στη Λέσβο.

Ετσι πλέον ο αριθμός των προσφύγων που φιλοξενείται στα νησιά είναι 14.173 άτομα, τη στιγμή που η χωρητικότητα των υποδομών είναι για 7.450 ανθρώπους.

Συνολικά, σε όλη την Ελλάδα, ο αριθμός των προσφύγων ανέρχεται σε 60.736 άτομα, σύμφωνα με την τελευταία καταγραφή.

Σχεδόν δύο φορές τον αριθμό προσφύγων που «αντέχουν» φιλοξενούν τα νησιά -Συνεχίζονται οι αφίξεις [πίνακας] | iefimerida.gr 0
Σχεδόν δύο φορές τον αριθμό προσφύγων που «αντέχουν» φιλοξενούν τα νησιά -Συνεχίζονται οι αφίξεις [πίνακας] | iefimerida.gr 1
Σχεδόν δύο φορές τον αριθμό προσφύγων που «αντέχουν» φιλοξενούν τα νησιά -Συνεχίζονται οι αφίξεις [πίνακας] | iefimerida.gr 2



Ακολουθήστε το στο Google News και μάθετε πρώτοι όλες τις ειδήσεις
Δείτε όλες τις τελευταίες Ειδήσεις από την Ελλάδα και τον Κόσμο, στο 
ΔΙΑΒΑΣΤΕ ΠΕΡΙΣΣΟΤΕΡΑ πρόσφυγες νησία
ΣΧΟΛΙΑΣΜΟΣ
Tο iefimerida.gr δημοσιεύει άμεσα κάθε σχόλιο. Ωστόσο δεν υιοθετούμε τις απόψεις αυτές καθώς εκφράζουν αποκλειστικά τον εκάστοτε σχολιαστή. Σχόλια με ύβρεις διαγράφονται χωρίς προειδοποίηση. Χρήστες που δεν τηρούν τους όρους χρήσης αποκλείονται.

ΔΕΙΤΕ ΕΠΙΣΗΣ

ΠΕΡΙΣΣΟΤΕΡΑ