Στους 59.600 οι πρόσφυγες στην Ελλάδα -Αλλοι 52 έφτασαν στα νησιά του Αιγαίου [πίνακας] - iefimerida.gr

Στους 59.600 οι πρόσφυγες στην Ελλάδα -Αλλοι 52 έφτασαν στα νησιά του Αιγαίου [πίνακας]

Φωτογραφία: EUROKINISSI/ ΘΑΝΑΣΗΣ ΚΑΛΛΙΑΡΑΣ
NEWSROOM IEFIMERIDA.GR

Αλλοι 52 πρόσφυγες έφτασαν στα νησιά του Αιγαίου, σύμφωνα με την τελευταία καταγραφή, που έγινε το πρωί του Σαββάτου.

Συγκεκριμένα, 32 άτομα έφτασαν στη Λέσβο, 2 στη Χίο και 18 στην Κάλυμνο. Πλέον, ο αριθμός των προσφύγων που βρίσκονται στα νησιά ανέρχεται σε 12.886 άτομα, τη στιγμή που οι δομές που βρίσκονται εκεί μπορούν να «αντέξουν» 7.450 άτομα.

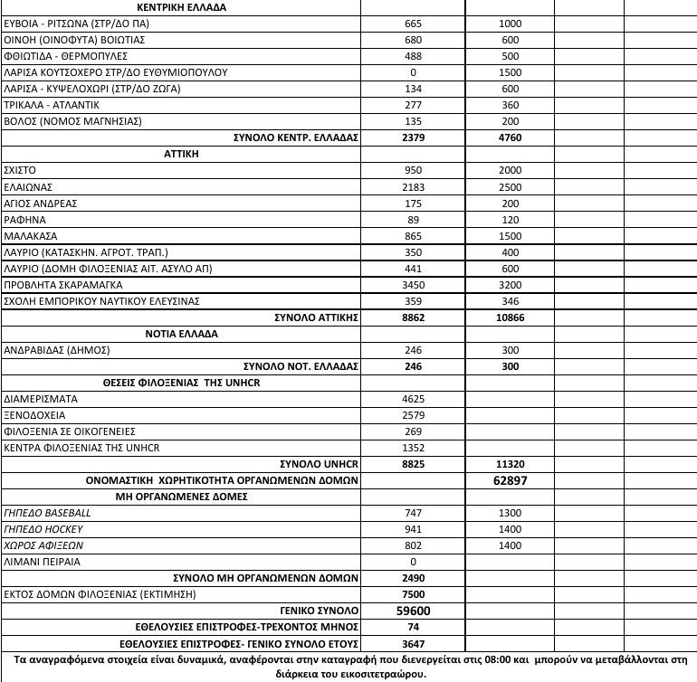
Συνολικά, ο αριθμός των προσφύγων που βρίσκονται στη χώρα μας φτάνει τους 59.600.

Στους 59.600 οι πρόσφυγες στην Ελλάδα -Αλλοι 52 έφτασαν στα νησιά του Αιγαίου [πίνακας] | iefimerida.gr 0
Στους 59.600 οι πρόσφυγες στην Ελλάδα -Αλλοι 52 έφτασαν στα νησιά του Αιγαίου [πίνακας] | iefimerida.gr 1


Ακολουθήστε το στο Google News και μάθετε πρώτοι όλες τις ειδήσεις
Δείτε όλες τις τελευταίες Ειδήσεις από την Ελλάδα και τον Κόσμο, στο 
ΔΙΑΒΑΣΤΕ ΠΕΡΙΣΣΟΤΕΡΑ πρόσφυγες Χίος Λέσβος
ΣΧΟΛΙΑΣΜΟΣ
Tο iefimerida.gr δημοσιεύει άμεσα κάθε σχόλιο. Ωστόσο δεν υιοθετούμε τις απόψεις αυτές καθώς εκφράζουν αποκλειστικά τον εκάστοτε σχολιαστή. Σχόλια με ύβρεις διαγράφονται χωρίς προειδοποίηση. Χρήστες που δεν τηρούν τους όρους χρήσης αποκλείονται.

ΔΕΙΤΕ ΕΠΙΣΗΣ

ΠΕΡΙΣΣΟΤΕΡΑ