Αγγιξαν ξανά τους 60.000 οι πρόσφυγες και οι μετανάστες σε όλη τη χώρα [πίνακας] - iefimerida.gr

Αγγιξαν ξανά τους 60.000 οι πρόσφυγες και οι μετανάστες σε όλη τη χώρα [πίνακας]

Φωτογραφία: Eurokinissi
NEWSROOM IEFIMERIDA.GR

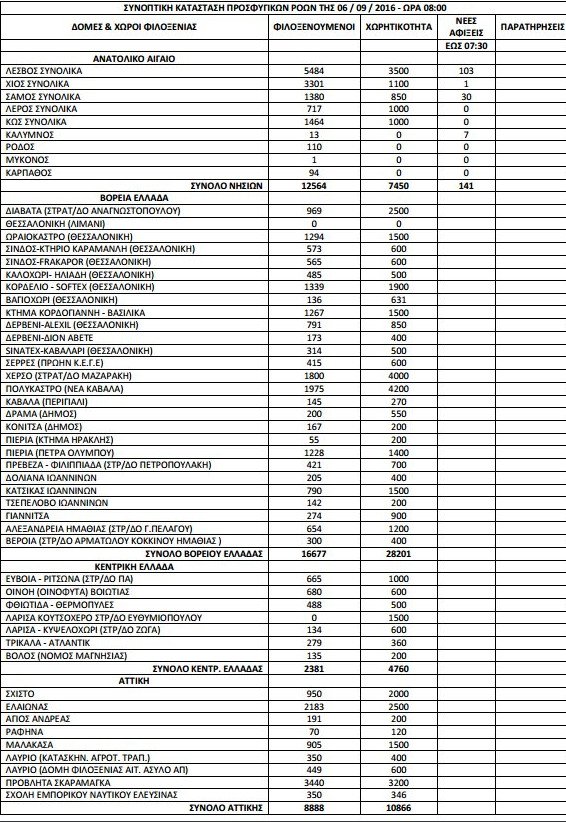
Στους 59.538 ανέρχονται οι πρόσφυγες σε όλη τη χώρα, σύμφωνα με τα σημερινά στοιχεία του Συντονιστικού Οργάνου Διαχείρισης της Προσφυγικής Κρίσης.

Στα στοιχεία υπολογίζονται και 8.258 πρόσφυγες που φιλοξενούνται σε ενοικιαζόμενους χώρους από την Ύπατη Αρμοστεία του ΟΗΕ για τους Πρόσφυγες, οι διαμένοντες σε μη οργανωμένες δομές (2.524) και εκτός δομών εκτιμάται πως βρίσκονται 8.000 άτομα.

Στα νησιά του ανατολικού Αιγαίου παραμένουν 12.564 πρόσφυγες, ενώ σημειώθηκαν 141 νέες αφίξεις κατά το τελευταίο 24ωρο.

Στην Αττική φιλοξενούνται 8.888 πρόσφυγες, στην κεντρική Ελλάδα 2.381 και στη νότια 246. Στους 27 χώρους της βόρειας Ελλάδας κατεγράφησαν 16.677 πρόσφυγες.

Αγγιξαν ξανά τους 60.000 οι πρόσφυγες και οι μετανάστες σε όλη τη χώρα [πίνακας] | iefimerida.gr 0
Αγγιξαν ξανά τους 60.000 οι πρόσφυγες και οι μετανάστες σε όλη τη χώρα [πίνακας] | iefimerida.gr 1

Πηγή: ΑΠΕ-ΜΠΕ

Ακολουθήστε το στο Google News και μάθετε πρώτοι όλες τις ειδήσεις
Δείτε όλες τις τελευταίες Ειδήσεις από την Ελλάδα και τον Κόσμο, στο 
ΔΙΑΒΑΣΤΕ ΠΕΡΙΣΣΟΤΕΡΑ συντονιστικό πρόσφυγες καταγραφή
ΣΧΟΛΙΑΣΜΟΣ
Tο iefimerida.gr δημοσιεύει άμεσα κάθε σχόλιο. Ωστόσο δεν υιοθετούμε τις απόψεις αυτές καθώς εκφράζουν αποκλειστικά τον εκάστοτε σχολιαστή. Σχόλια με ύβρεις διαγράφονται χωρίς προειδοποίηση. Χρήστες που δεν τηρούν τους όρους χρήσης αποκλείονται.

ΔΕΙΤΕ ΕΠΙΣΗΣ

ΠΕΡΙΣΣΟΤΕΡΑ