Ξεπέρασαν τους 57.300 οι πρόσφυγες στην Ελλάδα -Αλλοι 145 έφτασαν στα νησιά [πίνακας] - iefimerida.gr

Ξεπέρασαν τους 57.300 οι πρόσφυγες στην Ελλάδα -Αλλοι 145 έφτασαν στα νησιά [πίνακας]

Φωτογραφία: EUROKINISSI/ ΑΝΤΩΝΗΣ ΝΙΚΟΛΟΠΟΥΛΟΣ
NEWSROOM IEFIMERIDA.GR

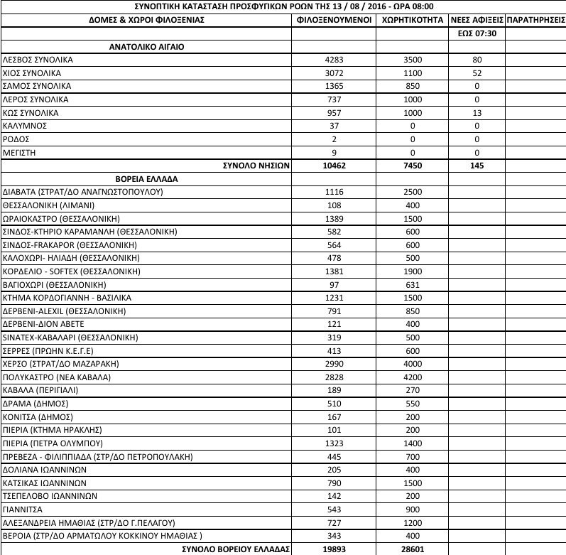
Αλλοι 145 πρόσφυγες και μετανάστες έφτασαν στα νησιά του Αιγαίου, σύμφωνα με την τελευταία καταγραφή.

Συγκεκριμένα, 80 άτομα έφτασαν στη Λέσβο, 52 στη Χίο και άλλοι 13 άνθρωποι στην Κω έως το πρωί του Σαββάτου. Κάτι που ανέβασε τον αριθμό των προσφύγων και μεταναστών στα νησιά του Αιγαίου σε 10.462, τη στιγμή που η χωρητικότητα των δομών φιλοξενίας τους είναι 7.450 άτομα.

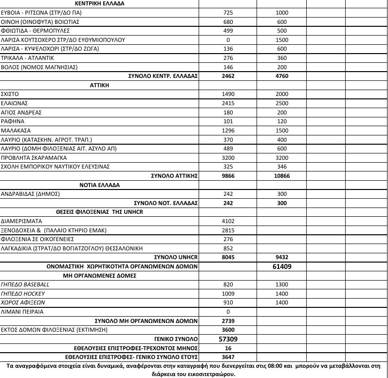
Ετσι, ο συνολικός αριθμός των προσφύγων και μεταναστών που βρίσκονται στη χώρα μας ανέρχεται στους 57.309 ανθρώπους, σύμφωνα με την τελευταία καταγραφή.

Ξεπέρασαν τους 57.300 οι πρόσφυγες στην Ελλάδα -Αλλοι 145 έφτασαν στα νησιά [πίνακας] | iefimerida.gr 0
Ξεπέρασαν τους 57.300 οι πρόσφυγες στην Ελλάδα -Αλλοι 145 έφτασαν στα νησιά [πίνακας] | iefimerida.gr 1


Ακολουθήστε το στο Google News και μάθετε πρώτοι όλες τις ειδήσεις
Δείτε όλες τις τελευταίες Ειδήσεις από την Ελλάδα και τον Κόσμο, στο 
ΔΙΑΒΑΣΤΕ ΠΕΡΙΣΣΟΤΕΡΑ πρόσφυγες Χίος Λέσβος
ΣΧΟΛΙΑΣΜΟΣ
Tο iefimerida.gr δημοσιεύει άμεσα κάθε σχόλιο. Ωστόσο δεν υιοθετούμε τις απόψεις αυτές καθώς εκφράζουν αποκλειστικά τον εκάστοτε σχολιαστή. Σχόλια με ύβρεις διαγράφονται χωρίς προειδοποίηση. Χρήστες που δεν τηρούν τους όρους χρήσης αποκλείονται.

ΔΕΙΤΕ ΕΠΙΣΗΣ

ΠΕΡΙΣΣΟΤΕΡΑ