Νέες αφίξεις προσφύγων στα νησιά -Ασφυκτιούν οι δομές φιλοξενίας, τι δείχνουν τα στοιχεία [πίνακας] - iefimerida.gr

Νέες αφίξεις προσφύγων στα νησιά -Ασφυκτιούν οι δομές φιλοξενίας, τι δείχνουν τα στοιχεία [πίνακας]

Φωτογραφία: EUROKINISSI/ ΘΑΝΑΣΗΣ ΚΑΛΛΙΑΡΑΣ
NEWSROOM IEFIMERIDA.GR

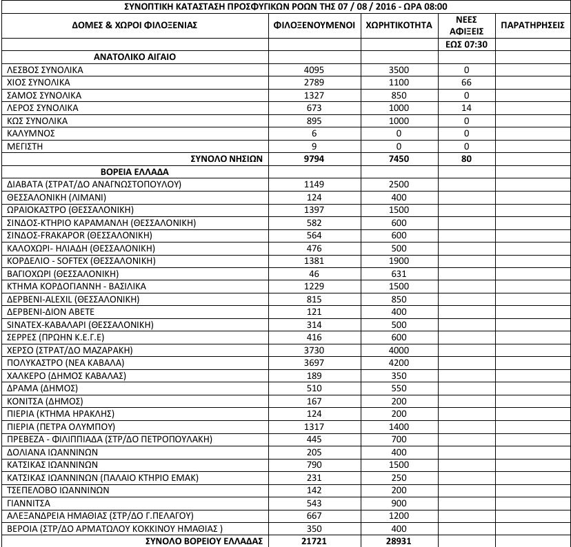
Αλλοι 80 πρόσφυγες έφτασαν στα νησιά του Αιγαίου έως το πρωί της Κυριακής, σύμφωνα με την τελευταία επίσημη καταγραφή.

Συγκεκριμένα, 66 άτομα έφτασαν στη Χίο και άλλα 14 άνθρωποι στη Σάμο, με τον αριθμό των προσφύγων και μεταναστών που βρίσκονται στα νησιά να είναι 9.794 άτομα.

Την ίδια ώρα, τα επίσημα στοιχεία προδίδουν την ασφυκτική κατάσταση στις δομές φιλοξενίας στα νησιά. Χαρακτηριστικό είναι πως στους χώρους φιλοξενίας στη Χίο υπάρχουν 2.789 άτομα, την ώρα που μπορούν να «αντέξουν» έως 1.100 ανθρώπους, ενώ στη Λέσβο βρίσκονται συνολικά 4.095 πρόσφυγες και μετανάστες, με χωρητικότητα 3.500 άτομα, στη Σάμο φιλοξενούνται 673 άνθρωποι (χωρητικότητα 1.000), και στην Κω 895 άτομα (χωρητικότητα 1.000).

Νέες αφίξεις προσφύγων στα νησιά -Ασφυκτιούν οι δομές φιλοξενίας, τι δείχνουν τα στοιχεία [πίνακας] | iefimerida.gr 0
Νέες αφίξεις προσφύγων στα νησιά -Ασφυκτιούν οι δομές φιλοξενίας, τι δείχνουν τα στοιχεία [πίνακας] | iefimerida.gr 1
Νέες αφίξεις προσφύγων στα νησιά -Ασφυκτιούν οι δομές φιλοξενίας, τι δείχνουν τα στοιχεία [πίνακας] | iefimerida.gr 2

Συνολικά στην Ελλάδα, σύμφωνα με την τελευταία καταγραφή, βρίσκονται 57.058 πρόσφυγες και μετανάστες.


Ακολουθήστε το στο Google News και μάθετε πρώτοι όλες τις ειδήσεις
Δείτε όλες τις τελευταίες Ειδήσεις από την Ελλάδα και τον Κόσμο, στο 
ΔΙΑΒΑΣΤΕ ΠΕΡΙΣΣΟΤΕΡΑ πρόσφυγες νησία δομες φιλοξενίας
ΣΧΟΛΙΑΣΜΟΣ
Tο iefimerida.gr δημοσιεύει άμεσα κάθε σχόλιο. Ωστόσο δεν υιοθετούμε τις απόψεις αυτές καθώς εκφράζουν αποκλειστικά τον εκάστοτε σχολιαστή. Σχόλια με ύβρεις διαγράφονται χωρίς προειδοποίηση. Χρήστες που δεν τηρούν τους όρους χρήσης αποκλείονται.

ΔΕΙΤΕ ΕΠΙΣΗΣ

ΠΕΡΙΣΣΟΤΕΡΑ