Σταθερά πάνω από 57.000 οι πρόσφυγες και οι μετανάστες σε όλη τη χώρα [πίνακας] - iefimerida.gr

Σταθερά πάνω από 57.000 οι πρόσφυγες και οι μετανάστες σε όλη τη χώρα [πίνακας]

NEWSROOM IEFIMERIDA.GR

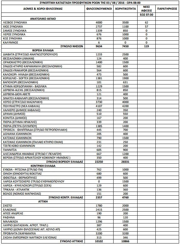
Στους 57.034 ανέρχονται οι πρόσφυγες σε όλη τη χώρα, σύμφωνα με τα σημερινά στοιχεία του Συντονιστικού Οργάνου Διαχείρισης της Προσφυγικής Κρίσης.

Στα στοιχεία υπολογίζονται και 7.440 πρόσφυγες που φιλοξενούνται σε ενοικιαζόμενους χώρους από την Ύπατη Αρμοστεία του ΟΗΕ για τους Πρόσφυγες, οι διαμένοντες σε μη οργανωμένες δομές (2.849) και εκτός δομών εκτιμάται πως βρίσκονται 2.150 άτομα.

Στα νησιά του ανατολικού Αιγαίου παραμένουν 9.634 πρόσφυγες, ενώ σημειώθηκαν 119 νέες αφίξεις κατά το τελευταίο 24ωρο.

Στην Αττική φιλοξενούνται 10.102 πρόσφυγες, στην κεντρική Ελλάδα 2.357 και στη νότια 252. Στους 27 χώρους της βόρειας Ελλάδας κατεγράφησαν 22.250 πρόσφυγες.

Σταθερά πάνω από 57.000 οι πρόσφυγες και οι μετανάστες σε όλη τη χώρα [πίνακας] | iefimerida.gr 0
Σταθερά πάνω από 57.000 οι πρόσφυγες και οι μετανάστες σε όλη τη χώρα [πίνακας] | iefimerida.gr 1

ΜΠΕΠηγή: ΑΠΕ-

Ακολουθήστε το στο Google News και μάθετε πρώτοι όλες τις ειδήσεις
Δείτε όλες τις τελευταίες Ειδήσεις από την Ελλάδα και τον Κόσμο, στο 
ΔΙΑΒΑΣΤΕ ΠΕΡΙΣΣΟΤΕΡΑ πρόσφυγες ΣΥΝΟΤΝΙΣΤΙΚΟ
ΣΧΟΛΙΑΣΜΟΣ
Tο iefimerida.gr δημοσιεύει άμεσα κάθε σχόλιο. Ωστόσο δεν υιοθετούμε τις απόψεις αυτές καθώς εκφράζουν αποκλειστικά τον εκάστοτε σχολιαστή. Σχόλια με ύβρεις διαγράφονται χωρίς προειδοποίηση. Χρήστες που δεν τηρούν τους όρους χρήσης αποκλείονται.

ΔΕΙΤΕ ΕΠΙΣΗΣ

ΠΕΡΙΣΣΟΤΕΡΑ