Στα νησιά έφτασαν άλλοι 118 πρόσφυγες το Σάββατο -Πάνω από 57.000 σε όλη την Ελλάδα [πίνακας] - iefimerida.gr

Στα νησιά έφτασαν άλλοι 118 πρόσφυγες το Σάββατο -Πάνω από 57.000 σε όλη την Ελλάδα [πίνακας]

Φωτογραφία: EUROKINISSI/ ΘΑΝΑΣΗΣ ΚΑΛΛΙΑΡΑΣ
NEWSROOM IEFIMERIDA.GR

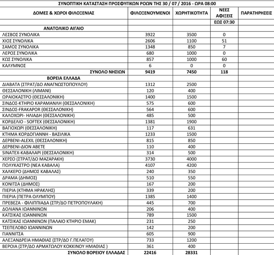
Συνεχίζονται οι αφίξεις των προσφύγων στα νησιά του Αιγαίου, καθώς άλλα 118 άτομα έφτασαν το Σάββατο, συνολικά, σε Κω, Σάμο και Χίο.

Ολα αυτά, τη στιγμή που ο Ζαν Κλοντ Γιούνκερ προειδοποίησε σήμερα ανοιχτά για τον κίνδυνο κατάρρευσης της συμφωνίας ΕΕ-Τουρκίας για την αντιμετώπιση της προσφυγικής κρίσης. Κάτι που θα σημαίνει ότι θα αυξηθούν ξανά οι προσφυγικές ροές προς την Ευρώπη, όπως τόνισε ο πρόεδρος της Κομισιόν.

Σύμφωνα με την τελευταία καταγραφή, στα νησιά του Αιγαίου παραμένουν 9.419 πρόσφυγες, ενώ συνολικά στην Ελλάδα βρίσκονται 57.077 άτομα.

Από αυτούς, 22.416 είναι στη Βόρεια Ελλάδα, 10.211 στην Αττική, ενώ σε μη οργανωμένες δομές φιλοξενίας είναι 3.179 άτομα. Επιπλέον, εκτιμάται ότι 2.050 πρόσφυγες είναι εκτός δομών φιλοξενίας.

Στα νησιά έφτασαν άλλοι 118 πρόσφυγες το Σάββατο -Πάνω από 57.000 σε όλη την Ελλάδα [πίνακας] | iefimerida.gr 0
Στα νησιά έφτασαν άλλοι 118 πρόσφυγες το Σάββατο -Πάνω από 57.000 σε όλη την Ελλάδα [πίνακας] | iefimerida.gr 1
Στα νησιά έφτασαν άλλοι 118 πρόσφυγες το Σάββατο -Πάνω από 57.000 σε όλη την Ελλάδα [πίνακας] | iefimerida.gr 2



Ακολουθήστε το στο Google News και μάθετε πρώτοι όλες τις ειδήσεις
Δείτε όλες τις τελευταίες Ειδήσεις από την Ελλάδα και τον Κόσμο, στο 
ΔΙΑΒΑΣΤΕ ΠΕΡΙΣΣΟΤΕΡΑ πρόσφυγες
ΣΧΟΛΙΑΣΜΟΣ
Tο iefimerida.gr δημοσιεύει άμεσα κάθε σχόλιο. Ωστόσο δεν υιοθετούμε τις απόψεις αυτές καθώς εκφράζουν αποκλειστικά τον εκάστοτε σχολιαστή. Σχόλια με ύβρεις διαγράφονται χωρίς προειδοποίηση. Χρήστες που δεν τηρούν τους όρους χρήσης αποκλείονται.

ΔΕΙΤΕ ΕΠΙΣΗΣ

ΠΕΡΙΣΣΟΤΕΡΑ