Στους 52.448 οι πρόσφυγες σε όλη την Ελλάδα [πίνακας] - iefimerida.gr

Στους 52.448 οι πρόσφυγες σε όλη την Ελλάδα [πίνακας]

(EUROKINISSI/ ΔΗΜΗΤΡΗΣ ΠΑΠΑΜΗΤΣΟΣ)
NEWSROOM IEFIMERIDA.GR

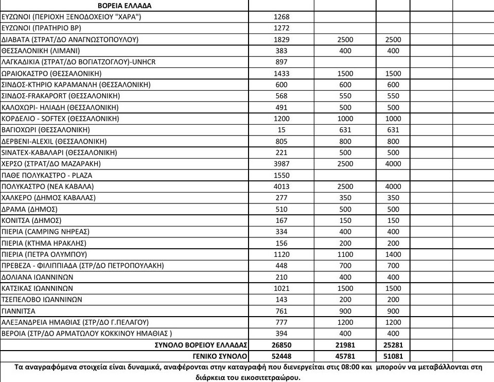
Στους 52.448 φτάνουν οι πρόσφυγες που βρίσκονται εγκλωβισμένοι στη χώρα μας, σύμφωνα με την τελευταία καταγραφή τους, το πρωί του Σαββάτου.

Τα στοιχεία αυτά δείχνουν 15 νέες αφίξεις στα νησιά του Αιγαίου, όπου παραμένουν 8.505 άτομα. Στην Αττική φιλοξενούνται 14.519 άνθρωποι και στη Βόρεια Ελλάδα 26.850.

Στους 52.448 οι πρόσφυγες σε όλη την Ελλάδα [πίνακας] | iefimerida.gr 0
Στους 52.448 οι πρόσφυγες σε όλη την Ελλάδα [πίνακας] | iefimerida.gr 1


Ακολουθήστε το στο Google News και μάθετε πρώτοι όλες τις ειδήσεις
Δείτε όλες τις τελευταίες Ειδήσεις από την Ελλάδα και τον Κόσμο, στο 
ΔΙΑΒΑΣΤΕ ΠΕΡΙΣΣΟΤΕΡΑ πρόσφυγες
ΣΧΟΛΙΑΣΜΟΣ
Tο iefimerida.gr δημοσιεύει άμεσα κάθε σχόλιο. Ωστόσο δεν υιοθετούμε τις απόψεις αυτές καθώς εκφράζουν αποκλειστικά τον εκάστοτε σχολιαστή. Σχόλια με ύβρεις διαγράφονται χωρίς προειδοποίηση. Χρήστες που δεν τηρούν τους όρους χρήσης αποκλείονται.

ΔΕΙΤΕ ΕΠΙΣΗΣ

ΠΕΡΙΣΣΟΤΕΡΑ