Ο λογαριασμός των φόρων για μισθωτούς, ελεύθερους επαγγελματίες, μπλοκάκια, ενοίκια [πίνακες] - iefimerida.gr

Ο λογαριασμός των φόρων για μισθωτούς, ελεύθερους επαγγελματίες, μπλοκάκια, ενοίκια [πίνακες]

NEWSROOM IEFIMERIDA.GR

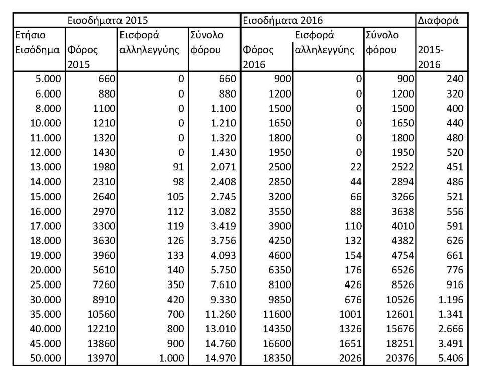
Το νέο φορολογικό έχει δοθεί σε δημόσια διαβούλευση και φέρνει επιβαρύνσεις για όσους έχουν εισόδημα από 9.100 ευρώ.

Τυχεροί είναι όσοι μισθωτοί έχουν εισόδημα από 28.000 και ως 43.000 ευρώ, αφού θα δουν μείωση έως και 400 ευρώ.

Φοροχαστούκι έρχεται όμως και για τους ελεύθερους επαγγελματίες που δηλώνουν στην εφορία πάνω από 32.000 ευρώ εισόδημα το χρόνο. Από το ίδιο περίπου επίπεδο εισοδήματος (30.000 ευρώ) θα κάνουν «κατάθεση» στην εφορία όσοι έχουν μπλοκάκι.

Η κλίμακα ειδικής εισφοράς αλληλεγγύης
Οι συντελεστές σε κλιμάκια εισοδήματος ως εξής:

  • 0% για εισόδημα έως 12.000 ευρώ
  • 2,2% για εισόδημα από 12.001 έως 20.000 ευρώ
  • 5% από 20.001 έως 30.000 ευρώ
  • 6,5% από 30.001 έως 40.000 ευρώ
  • 7,5% από 40.001 έως και 65.000 ευρώ
  • 9% από 65.001 έως και 220.000 ευρώ
  • 10% από 220.001 ευρώ και πάνω.
     
Ο λογαριασμός των φόρων για μισθωτούς, ελεύθερους επαγγελματίες, μπλοκάκια, ενοίκια [πίνακες] | iefimerida.gr 0
Ο λογαριασμός των φόρων για μισθωτούς, ελεύθερους επαγγελματίες, μπλοκάκια, ενοίκια [πίνακες] | iefimerida.gr 1

Αγρότες- επαγγελματίες
Η κυβέρνηση για να γλιτώσει και από ένα νέο κύμα πανελλαδικών κινητοποιήσεων κλείνει το μαι στους αγρότες. Συγκεκριμένα βάσει του νομοσχεδίου φορολογούμενος με αγροτικό εισόδημα 12.000 ευρώ θα έχει μείωση φόρου 920 ευρώ, ελεύθερος επαγγελματίας με εισόδημα 25.000 ευρώ θα έχει ελάφρυνση 764 ευρώ.

Τα εισοδήματα από ενοίκια
Το εισόδημα από ακίνητη περιουσία φορολογείται αυτοτελώς σύμφωνα με την ακόλουθη κλίμακα πίνακας (euro2day.gr):

Ο λογαριασμός των φόρων για μισθωτούς, ελεύθερους επαγγελματίες, μπλοκάκια, ενοίκια [πίνακες] | iefimerida.gr 2
Ακολουθήστε το στο Google News και μάθετε πρώτοι όλες τις ειδήσεις
Δείτε όλες τις τελευταίες Ειδήσεις από την Ελλάδα και τον Κόσμο, στο 
ΣΧΟΛΙΑΣΜΟΣ
Tο iefimerida.gr δημοσιεύει άμεσα κάθε σχόλιο. Ωστόσο δεν υιοθετούμε τις απόψεις αυτές καθώς εκφράζουν αποκλειστικά τον εκάστοτε σχολιαστή. Σχόλια με ύβρεις διαγράφονται χωρίς προειδοποίηση. Χρήστες που δεν τηρούν τους όρους χρήσης αποκλείονται.

ΔΕΙΤΕ ΕΠΙΣΗΣ

ΠΕΡΙΣΣΟΤΕΡΑ