Το doodle της Google τιμά τον σπουδαίο μαθηματικό Τζορτζ Μπουλ [βίντεο] - iefimerida.gr

Το doodle της Google τιμά τον σπουδαίο μαθηματικό Τζορτζ Μπουλ [βίντεο]

NEWSROOM IEFIMERIDA.GR

Αν σήμερα επισκεφτήκατε τη μηχανή αναζήτησης της Google τότε σίγουρα θα είδατε το νέο της doodle, που είναι αφιερωμένο σε έναν από τους σημαντικότερους θεωρητικούς της αλγεβρικής λογικής και των διαφορετικών εξισώσεων, τον Τζορτζ Μπουλ.

Το doodle είναι αφιερωμένο στα 200 χρόνια από τη γέννηση του. Ο Μπουλ ήταν μαθηματικός, φιλόσοφος και μελετητής της λογικής.

Εργάστηκε στους τομείς των διαφορικών εξισώσεων και της αλγεβρικής λογικής και είναι ευρύτερα γνωστός ως ο συγγραφέας του «Οι νόμοι της Λογικής». Αποτελεί το θεμελιωτή της συστηματικής μελέτης της λογικής και της γενικότερης εφαρμογής που μπορεί να έχει στην επιστήμη των μαθηματικών. Ο Μπουλ έλεγε ότι, πως καμία γενική μέθοδος για την επίλυση ερωτημάτων στην θεωρία των πιθανοτήτων δεν μπορεί να εδραιωθεί εάν δεν αναγνωρίζει ξεκάθαρα τους παγκόσμιους νόμους της σκέψης που είναι η βάση κάθε λογικής.

Το 1847 παρουσίασε μια άλγεβρα με μεταβλητές δύο τιμών, που καλούνται λογικές μεταβλητές. Αυτό που έκανε είναι να παρουσιάσει με τα μαθηματικά της εποχής του την αριστοτελική λογική είναι ή δεν είναι. Η άλγεβρα αυτή ονομάζεται, πλέον, Αλγεβρα του Μπουλ ή διαδική Αλγεβρα ή διακοπτική και εφαρμόζεται στη σχεδίαση του λογισμικού και των κυκλωμάτων των ηλεκτρονικών υπολογιστών, επειδή είναι ιδανική στον χειρισμό λογικών συναρτήσεων και πράξεων στο δυαδικό σύστημα.

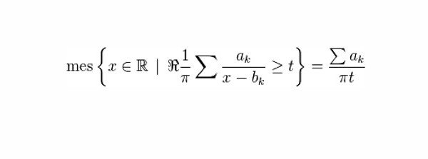
Το 1857, ο Μπουλ δημοσίευσε την πραγματεία σχετικά με τη Σύγκριση των Υπερβατικών, με ορισμένες εφαρμογές στη Θεωρία των Ολοκληρωμάτων, στην οποία μελέτησε το άθροισμα των υπολειμμάτων μιας ρητής συνάρτησης. Μεταξύ άλλων αποτελεσμάτων, απέδειξε αυτό που καλείται τώρα Ταυτότητα Μπουλ:

Το doodle της Google τιμά τον σπουδαίο μαθηματικό Τζορτζ Μπουλ [βίντεο] | iefimerida.gr 0


για κάθε πραγματικούς αριθμούς .Γενικεύσεις αυτής της ταυτότητας διαδραματίζουν σημαντικό ρόλο στη θεωρία του μετασχηματισμού Χίλμπερτ.

Οι βραβεύσεις

Ο Μπουλ βραβεύθηκε με το μετάλλιο Κιθ από την βασιλική κοινότητα του Εδιμβούργου το 1855 και εκλέχθηκε ως συνεργάτης της βασιλικής κοινότητας το 1857. Έλαβε επίσης τιμητικούς τίτλους ως Διδάκτωρ Νομικής απο το πανεπιστήμιο του Δουβλίνου και της Οξφόρδης.

Ο θάνατος.... μετά από περίπατο στη βροχή

Μια μέρα του 1864, ο μαθηματικός περπάτησε δυο μίλια μέσα στη βροχή και ύστερα έδωσε διάλεξη φορώντας τα βρεγμένα του ρούχα. Δεν άργησε να αρρωστήσει παρουσιάζοντας συμπτώματα σφοδρού κρυολογήματος και υψηλού πυρετού. Η γυναίκα του πίστευε πως οι θεραπείες θα έπρεπε να ταιριάζουν με την αρρώστια, του έριχνε κουβάδες με νερό, το ίδιο που του προκάλεσε την αρρώστια. Η κατάστασή του επιδεινώθηκε και στις 8 Δεκεμβρίου του 1864 απεβίωσε από υψηλό πυρετό που προκλήθηκε από πλευριτική συλλογή.

Πηγή: Βικιπέδια

Ακολουθήστε το στο Google News και μάθετε πρώτοι όλες τις ειδήσεις
Δείτε όλες τις τελευταίες Ειδήσεις από την Ελλάδα και τον Κόσμο, στο 
ΔΙΑΒΑΣΤΕ ΠΕΡΙΣΣΟΤΕΡΑ Τζορτζ Μπουλ Google doodle αφιέρωμα
ΣΧΟΛΙΑΣΜΟΣ
Tο iefimerida.gr δημοσιεύει άμεσα κάθε σχόλιο. Ωστόσο δεν υιοθετούμε τις απόψεις αυτές καθώς εκφράζουν αποκλειστικά τον εκάστοτε σχολιαστή. Σχόλια με ύβρεις διαγράφονται χωρίς προειδοποίηση. Χρήστες που δεν τηρούν τους όρους χρήσης αποκλείονται.

ΔΕΙΤΕ ΕΠΙΣΗΣ

ΠΕΡΙΣΣΟΤΕΡΑ