Τα μαθηματικά του λουκουμά -Βρέθηκε η φόρμουλα για τα τέλεια ντόνατς [εικόνες] - iefimerida.gr

Τα μαθηματικά του λουκουμά -Βρέθηκε η φόρμουλα για τα τέλεια ντόνατς [εικόνες]

LOUKOUMAS
NEWSROOM IEFIMERIDA.GR

Μπολ, μίξερ και μετρητές για τις δόσεις... Αν μία μαγείρισσα πιστεύει ότι έτσι θα φτιάξει τα τέλεια ντόνατς, απατάται. Θα χρειαστεί διαβήτη και αναβαθμισμένες γνώσεις μαθηματικών, αλλά το αποτέλεσμα θα ανταμείψει όσους δοκιμάσουν τη λιχουδιά.

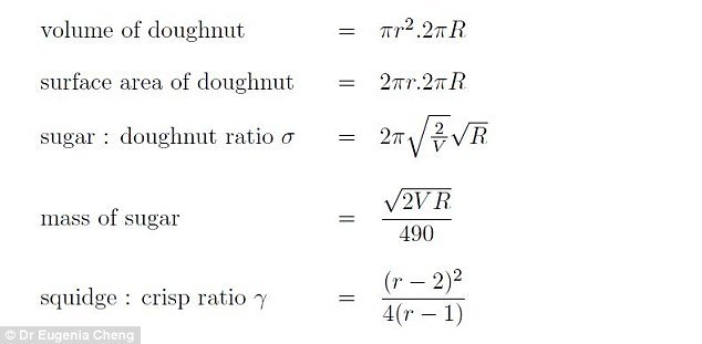
Αυτό τουλάχιστον υποστηρίζει η δρ. Εουτζένια Τσενγκ, η μαθηματικός που βρήκε τη φόρμουλα για τα τέλεια ντόνατς. Σύμφωνα με αυτή, οι καλύτεροι λουκουμάδες είναι εκείνοι που όταν βγαίνουν από το τηγάνι είναι όσο μαλακοί και τραγανοί πρέπει, ενώ από πάνω έχουν την ακριβή ποσότητα ζάχαρης που απαιτείται.

Πώς το πετυχαίνει κανείς αυτό; Εύκολα, αν είναι μαθηματικός. Η δρ. Τσενγκ ανακάλυψε λοιπόν ότι τα τέλεια ντόνατς είναι εκείνα που έχουν τρύπα 11 χιλιοστών, η ιδανική αναλογία ζουμερό/ τραγανό είναι 3,5 προς 1 και το καθένα έχει πασπαλιστεί με 5,8 γραμμάρια ζάχαρης. Και δεν πρέπει να ξεχάσει κανείς ότι η διάμετρος του ντόνατ πρέπει να είναι 72-88 χιλιοστών.

Σύμφωνα με την λέκτορα του Πανεπιστημίου του Σέφιλντ, όσο μεγαλύτερη είναι η τρύπα, τόσο πιο τραγανό γίνεται το γλύκισμα, όσο μικρότερη, τόσο πιο απαλό είναι το εσωτερικό του λουκουμά. Βέβαια, δεν εξήγησε πώς ακριβώς θα καταφέρει να εφαρμόσει τη φόρμουλα μία γυναίκα στην κουζίνα της!

Τα μαθηματικά του λουκουμά -Βρέθηκε η φόρμουλα για τα τέλεια ντόνατς [εικόνες] | iefimerida.gr 0
Τα μαθηματικά του λουκουμά -Βρέθηκε η φόρμουλα για τα τέλεια ντόνατς [εικόνες] | iefimerida.gr 1



Ακολουθήστε το στο Google News και μάθετε πρώτοι όλες τις ειδήσεις
Δείτε όλες τις τελευταίες Ειδήσεις από την Ελλάδα και τον Κόσμο, στο 
ΔΙΑΒΑΣΤΕ ΠΕΡΙΣΣΟΤΕΡΑ ειδήσεις ντόνατς μαθηματικά
ΣΧΟΛΙΑΣΜΟΣ
Tο iefimerida.gr δημοσιεύει άμεσα κάθε σχόλιο. Ωστόσο δεν υιοθετούμε τις απόψεις αυτές καθώς εκφράζουν αποκλειστικά τον εκάστοτε σχολιαστή. Σχόλια με ύβρεις διαγράφονται χωρίς προειδοποίηση. Χρήστες που δεν τηρούν τους όρους χρήσης αποκλείονται.

ΔΕΙΤΕ ΕΠΙΣΗΣ

ΠΕΡΙΣΣΟΤΕΡΑ