Πόσο θα κρατήσει η σχέση σας; Το Facebook έχει την απάντηση [εικόνα] - iefimerida.gr

Πόσο θα κρατήσει η σχέση σας; Το Facebook έχει την απάντηση [εικόνα]

Πόσο θα κρατήσει η σχέση σας; Το Facebook έχει την απάντηση [εικόνα]
NEWSROOM IEFIMERIDA.GR

Η «κατάσταση σχέσης» στο Facebook είναι ένα επίμαχο θέμα που συχνά δημιουργεί προβλήματα σε ορισμένους χρήστες. Ωστόσο, παρατηρώντας τις σχετικές αναρτήσεις των χρηστών του, μία νέα έρευνα του Facebook, μπορεί πλέον να υπολογίσει περίπου πόσο θα κρατήσει η σχέση σας.

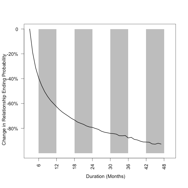
Συγκεκριμένα το Facebook Data Science ερεύνησε τα προφίλ των χρηστών που δηλώνουν δεσμευμένοι και έβγαλε συμπεράσματα για τις ερωτικές στατιστικές στα χρόνια της κοινωνικής δικτύωσης.

Σύμφωνα με τους ερευνητές, οι μισές απ' όλες τις σχέσεις που δηλώνονται στο κοινωνικό δίκτυο και έχουν επιβιώσει για τρεις μήνες είναι πολύ πιθανό να κρατήσουν 4 ή και περισσότερα χρόνια.

Οσο για την «σεζόν χωρισμού» οι ερευνητές παρατήρησαν ότι οι περισσότερες σχέσεις τελειώνουν τους καλοκαιρινούς μήνες από το Μάιο μέχρι τον Ιούλιο, ενώ ο μήνας με το χαμηλότερο ιστορικό χωρισμού είναι ο Φεβρουάριος – άλλωστε ποιος θα ήθελε να μείνει μόνος του Αγίου Βαλεντίνου;

Πόσο θα κρατήσει η σχέση σας; Το Facebook έχει την απάντηση [εικόνα] | iefimerida.gr 0
Πόσο θα κρατήσει η σχέση σας; Το Facebook έχει την απάντηση [εικόνα] | iefimerida.gr 1
Πόσο θα κρατήσει η σχέση σας; Το Facebook έχει την απάντηση [εικόνα] | iefimerida.gr 2
Ακολουθήστε το στο Google News και μάθετε πρώτοι όλες τις ειδήσεις
Δείτε όλες τις τελευταίες Ειδήσεις από την Ελλάδα και τον Κόσμο, στο 
ΣΧΟΛΙΑΣΜΟΣ
Tο iefimerida.gr δημοσιεύει άμεσα κάθε σχόλιο. Ωστόσο δεν υιοθετούμε τις απόψεις αυτές καθώς εκφράζουν αποκλειστικά τον εκάστοτε σχολιαστή. Σχόλια με ύβρεις διαγράφονται χωρίς προειδοποίηση. Χρήστες που δεν τηρούν τους όρους χρήσης αποκλείονται.

ΔΕΙΤΕ ΕΠΙΣΗΣ

ΠΕΡΙΣΣΟΤΕΡΑ