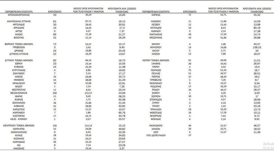
Σταθερή φαίνεται η εικόνα της διάδοσης του κορωνοϊού ανά Περιφέρεια, καθώς για δεύτερη ημέρα μόνο το κέντρο της Αθήνας και η Θεσσαλονίκη καταγράφουν τριψήφιο αριθμό κρουσμάτων.
Συγκεκριμένα, στην Αττική εντοπίζονται συνολικά 561 νέα κρούσματα του κορωνοϊού, εκ των οποίων 156 στο κέντρο της Αθήνας, 81 στην ανατολική Αττική, 72 στα βόρεια και 82 στα δυτικά προάστια. Επιπλέον, 22 περιστατικά εντοπίζονται στη δυτική Αττική, 61 στα νότια προάστια και 75 στην ΠΕ Πειραιά.
Την ίδια ώρα, η Θεσσαλονίκη καταγράφει το τελευταίο 24ωρο 256 νέα κρούσματα του κορωνοϊού, αριθμός που είναι ο υψηλότερος μεταξύ των περιφερειακών ενοτήτων της χώρας.
Κορωνοϊός: 2.170 νέα κρούσματα, 43 θάνατοι, 384 διασωληνωμένοι
Αυτοκτόνησε 68χρονος με κορωνοϊό στην Κατούνα Αιτωλοακαρνανίας
Στην Αχαΐα, ο αριθμός των νέων κρουσμάτων εμφανίζεται μειωμένος, με 66 περιστατικά, ενώ 70 εντοπίζονται στο Ηράκλειο της Κρήτης, 41 στην Καβάλα και 40 στην Κορινθία. Παράλληλα, 57 κρούσματα κορωνοϊού παραμένουν υπό διερεύνηση.
Κατανομή κρουσμάτων κορωνοϊού -Πέμπτη 9 Σεπτεμβρίου
Από το σύνολο των 2.170 νέων κρουσμάτων του νέου ιού στη χώρα, 11 είναι εισαγόμενα, εκ των οποίων 6 εντοπίστηκαν κατόπιν ελέγχων στις πύλες εισόδου της χώρας.
Η κατανομή των 2.159 νέων εγχώριων κρουσμάτων ανά Περιφερειακή Ενότητα παρουσιάζεται στον κατωτέρω πίνακα:

Δείτε όλες τις τελευταίες Ειδήσεις από την Ελλάδα και τον Κόσμο, στο iefimerida.gr