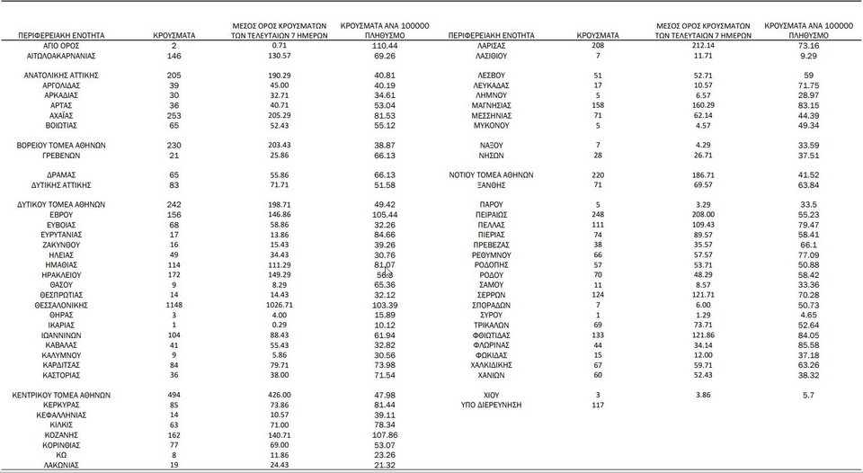
Αττική και Θεσσαλονίκη βρίσκονται στην κορυφή των κρουσμάτων κορωνοϊού και σήμερα, Πέμπτη 25 Νοεμβρίου, σύμφωνα με την ανακοίνωση του ΕΟΔΥ.
Παρότι ο αριθμός των νέων κρουσμάτων ήταν μειωμένος στο σύνολο της επικράτειας σε σύγκριση με την Τετάρτη, η κατανομή σε Αττική και Θεσσαλονίκη μοιάζει για μια ακόμη μέρα αμετάβλητη και κινείται σταθερά σε τετραψήφιο αριθμό περιστατικών.
Συγκεκριμένα, 1.750 κρούσματα κορωνοϊού εντοπίστηκαν στην Αττική, εκ των οποίων 494 στο κέντρο της Αθήνας, 205 στην ανατολική Αττική, 242 στα δυτικά προάστια και 248 στην ΠΕ Πειραιά.
Σταθερά υψηλή η διάδοση στη Θεσσαλονίκη
Η διάδοση στη Θεσσαλονίκη παραμένει σε ανησυχητικά υψηλά επίπεδα, καθώς η περιφερειακή ενότητα της κεντρικής Μακεδονίας κατέγραψε το τελευταίο 24ωρο 1.148 νέα περιστατικά.
Αυξημένη παραμένει η διάδοση και στην Αχαΐα με 253 κρούσματα του νέου κορωνοϊού, ενώ υποχωρούν ελαφρά οι νέες μολύνσεις στη Λάρισα, με 208 περιστατικά.
Στην υπόλοιπη Ελλάδα, τριψήφιο αριθμό κρουσμάτων κορωνοϊού καταγράφει το Ηράκλειο της Κρήτης (172), ο Έβρος (156), η Κοζάνη (162) και η Μαγνησία (158).
Η κατανομή κρουσμάτων κορωνοϊού την Πέμπτη 25 Νοεμβρίου
Από το σύνολο των 6.565 νέων κρουσμάτων του νέου ιού στη χώρα, 17 είναι εισαγόμενα, εκ των οποίων 8 εντοπίστηκαν κατόπιν ελέγχων στις πύλες εισόδου της χώρας.
Η κατανομή των 6.548 νέων εγχώριων κρουσμάτων ανά Περιφερειακή Ενότητα παρουσιάζεται στον κατωτέρω πίνακα:
