Κορωνοϊός: Στα ύψη τα κρούσματα στην Αττική, τρομάζει η Κρήτη -Τετραπλασιάστηκαν τα περιστατικά στη Μύκονο - iefimerida.gr

Κορωνοϊός: Στα ύψη τα κρούσματα στην Αττική, τρομάζει η Κρήτη -Τετραπλασιάστηκαν τα περιστατικά στη Μύκονο

Οι ανεμόμυλοι στο νησί της Μυκόνου
Οι ανεμόμυλοι στο νησί της Μυκόνου / Φωτογραφία: Shutterstock
NEWSROOM IEFIMERIDA.GR

Σχεδόν τα μισά κρούσματα κορωνοϊού που διαπιστώθηκαν σε όλη τη χώρα το τελευταίο 24ωρο εντοπίζονται στην Αττική, με το κέντρο της Αθήνας να καταγράφει 304 περιστατικά.

Συγκεκριμένα, σε σύνολο 2.794 κρουσμάτων, 1.190 εντοπίζονται στην Αττική. Εξ αυτών, 304 βρίσκονται στην Αττική, 184 στα βόρεια προάστια, 172 στον Νότιο Τομέα Αθηνών και 191 στον Πειραιά.

ΤΟ ΑΡΘΡΟ ΣΥΝΕΧΙΖΕΙ ΜΕΤΑ ΤΗΝ ΔΙΑΦΗΜΙΣΗ

Την ίδια ώρα, αυξημένος εμφανίζεται ο αριθμός των νέων περιστατικών κορωνοϊού στη Θεσσαλονίκη, που καταγράφει 198 κρούσματα, ενώ 90 μολύνσεις εντοπίζονται στη Λάρισα, 76 στην Αχαΐα και 55 στα Ιωάννινα.

Στα ύψη τα νέα κρούσματα κορωνοϊού στην Κρήτη

Όπως αποτυπώθηκε και στους χάρτες του ECDC, η επιδημιολογική εικόνα στην Κρήτη εξακολουθεί να είναι επιβαρυμένη. Την τελευταία ημέρα διαγνώστηκαν 153 κρούσματα στο Ηράκλειο, 96 στο Ρέθυμνο και 40 στα Χανιά. Συνολικά, η Κρήτη σημειώνει 310 νέα περιστατικά κορωνοϊού.

Σήμα κινδύνου όμως φαίνεται πως εκπέμπει και η Μύκονος, που σε μία μόνο ημέρα κατέγραψε 86 νέα κρούσματα κορωνοϊού. Στην Πάρο καταγράφονται σήμερα 39 περιστατικά, 8 στη Μήλο και 3 στη Νάξο.

Την ίδια ώρα, αυξημένος είναι ο αριθμός των κρουσμάτων κορωνοϊού και στη Ρόδο, με 42 περιστατικά, ενώ 6 εντοπίζονται στην Κάλυμνο και 13 στην Κω.

ΤΟ ΑΡΘΡΟ ΣΥΝΕΧΙΖΕΙ ΜΕΤΑ ΤΗΝ ΔΙΑΦΗΜΙΣΗ

Η γεωγραφική κατανομή κρουσμάτων κορωνοϊού

Από το σύνολο των 2.794 νέων κρουσμάτων του νέου ιού στη χώρα, 15 είναι εισαγόμενα, εκ των οποίων 7 εντοπίστηκαν κατόπιν ελέγχων στις πύλες εισόδου της χώρας.

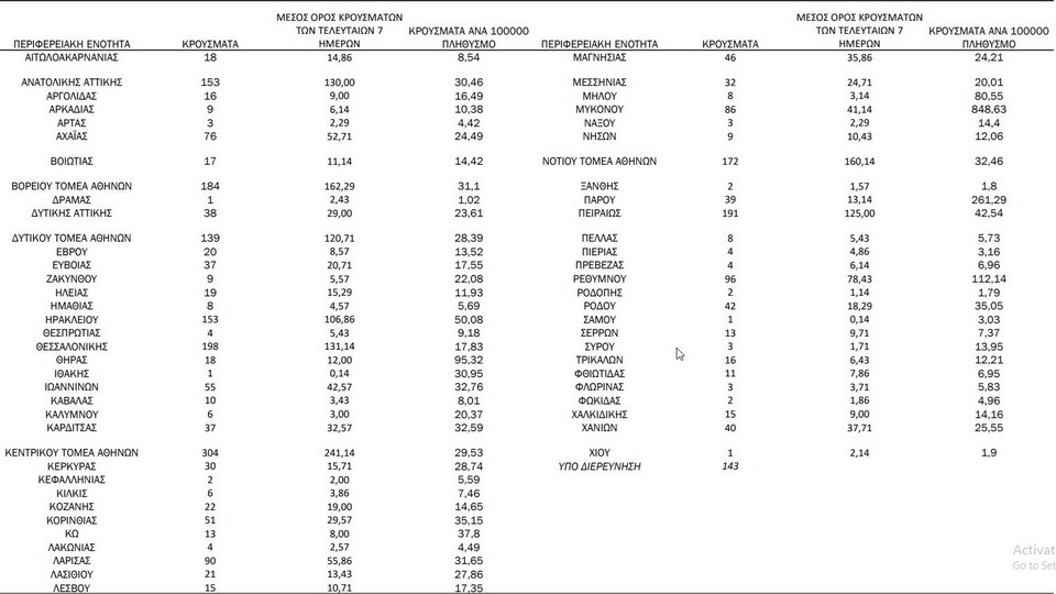
Η κατανομή των 2.779 νέων εγχώριων κρουσμάτων ανά Περιφερειακή Ενότητα παρουσιάζεται στον κατωτέρω πίνακα:

Η γεωγραφική κατανομή κρουσμάτων κορωνοϊού
Η γεωγραφική κατανομή κρουσμάτων κορωνοϊού
Ακολουθήστε το στο Google News και μάθετε πρώτοι όλες τις ειδήσεις
Δείτε όλες τις τελευταίες Ειδήσεις από την Ελλάδα και τον Κόσμο, στο 
ΣΧΟΛΙΑΣΜΟΣ
Tο iefimerida.gr δημοσιεύει άμεσα κάθε σχόλιο. Ωστόσο δεν υιοθετούμε τις απόψεις αυτές καθώς εκφράζουν αποκλειστικά τον εκάστοτε σχολιαστή. Σχόλια με ύβρεις διαγράφονται χωρίς προειδοποίηση. Χρήστες που δεν τηρούν τους όρους χρήσης αποκλείονται.

ΔΕΙΤΕ ΕΠΙΣΗΣ

ΠΕΡΙΣΣΟΤΕΡΑ