Κορωνοϊός: 1.738 κρούσματα στην Αττική και 935 στη Θεσσαλονίκη -Ο «χάρτης» της διασποράς - iefimerida.gr

Κορωνοϊός: 1.738 κρούσματα στην Αττική και 935 στη Θεσσαλονίκη -Ο «χάρτης» της διασποράς

παραλια θεσσαλονικη
Θεσσαλονίκη/ Φωτογραφία: Shutterstock
NEWSROOM IEFIMERIDA.GR

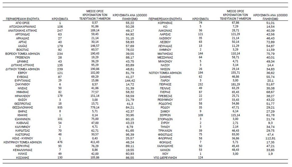
Στο «κόκκινο» παραμένουν Αττική και Θεσσαλονίκη, όπου εντοπίζονται τα περισσότερα κρούσματα κορωνοϊού.

Όπως αναφέρεται στην ανακοίνωση από τον Εθνικό Οργανισμό Δημόσιας Υγείας, στην Αττική εντοπίζονται 1.738 κρούσματα.

Επίσης, οι περιοχές με τριψήφιο αριθμό μολύνσεων είναι οι εξής:

  • 935 στη Θεσσαλονίκη
  • 106 στην Αιτωλοακαρνανία
  • 179 στην Αχαΐα
  • 121 στον Έβρο
  • 179 στο Ηράκλειο
  • 101 στα Ιωάννινα
  • 130 στην Κοζάνη
  • 121 στη Λάρισα
  • 144 στη Μαγνησία
  • 109 στις Σέρρες

Από το σύνολο των 5.899 νέων κρουσμάτων του νέου ιού στη χώρα 12 είναι εισαγόμενα εκ των οποίων 7 εντοπίστηκαν κατόπιν ελέγχων στις πύλες εισόδου της χώρας.

Ακολουθεί ο πίνακας με την κατανομή των 5.887 νέων εγχώριων κρουσμάτων ανά Περιφερειακή Ενότητα:

κατανομή κρουσμάτων 8/12
Ακολουθήστε το στο Google News και μάθετε πρώτοι όλες τις ειδήσεις
Δείτε όλες τις τελευταίες Ειδήσεις από την Ελλάδα και τον Κόσμο, στο 
ΔΙΑΒΑΣΤΕ ΠΕΡΙΣΣΟΤΕΡΑ Κορωνοϊός κατανομή κρούσματα
ΣΧΟΛΙΑΣΜΟΣ
Tο iefimerida.gr δημοσιεύει άμεσα κάθε σχόλιο. Ωστόσο δεν υιοθετούμε τις απόψεις αυτές καθώς εκφράζουν αποκλειστικά τον εκάστοτε σχολιαστή. Σχόλια με ύβρεις διαγράφονται χωρίς προειδοποίηση. Χρήστες που δεν τηρούν τους όρους χρήσης αποκλείονται.

ΔΕΙΤΕ ΕΠΙΣΗΣ

ΠΕΡΙΣΣΟΤΕΡΑ